Официальное опубликование правовых актов
ОФИЦИАЛЬНОЕ ОПУБЛИКОВАНИЕ
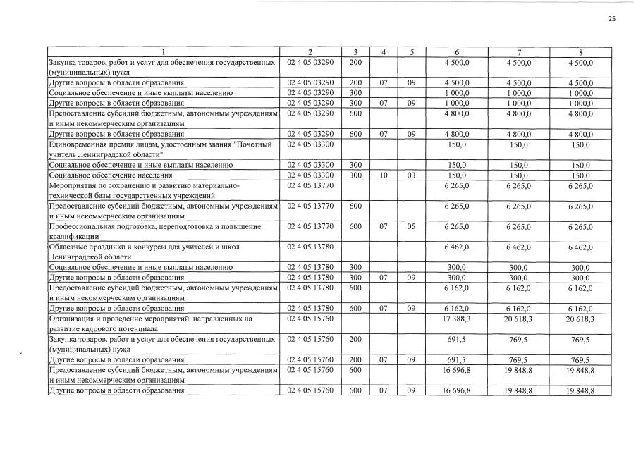
Закон Ленинградской области от 07.10.2022 № 107-оз
"О внесении изменений в областной закон "Об областном бюджете Ленинградской области на 2022 год и на плановый период 2023 и 2024 годов"
Номер опубликования: 4700202210100001
Дата опубликования: 10.10.2022
Страница №45 из 545:
Увеличить