Официальное опубликование правовых актов
ОФИЦИАЛЬНОЕ ОПУБЛИКОВАНИЕ
Постановление Правительства Ленинградской области от 20.09.2022 № 680
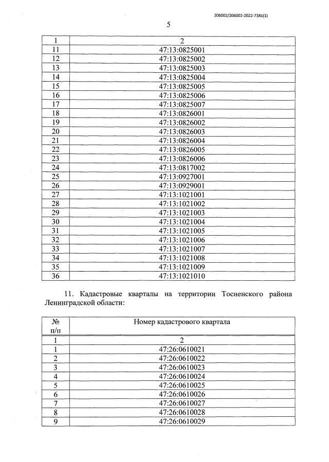
"О внесении изменения в постановление Правительства Ленинградской области от 18 января 2019 года № 4 "Об утверждении Перечня кадастровых кварталов, в границах которых планируется проведение комплексных кадастровых работ на территории Ленинградской области"
Номер опубликования: 4700202209210015
Дата опубликования: 21.09.2022
Страница №6 из 7:
Увеличить