Официальное опубликование правовых актов
ОФИЦИАЛЬНОЕ ОПУБЛИКОВАНИЕ
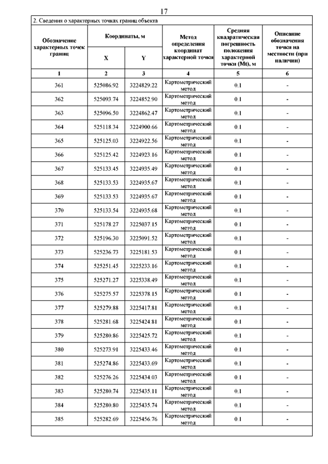
Постановление Правительства Ленинградской области от 06.09.2022 № 649
"О внесении изменений в Генеральный план Лодейнопольского городского поселения Лодейнопольского муниципального района Ленинградской области применительно к городу Лодейное Поле"
Номер опубликования: 4700202209080007
Дата опубликования: 08.09.2022
Страница №43 из 59:
Увеличить