Официальное опубликование правовых актов
ОФИЦИАЛЬНОЕ ОПУБЛИКОВАНИЕ
Постановление Правительства Ленинградской области от 03.08.2022 № 549
"О внесении изменений в Генеральный план муниципального образования Заневское городское поселение Всеволожского муниципального района Ленинградской области"
Номер опубликования: 4700202208110001
Дата опубликования: 11.08.2022
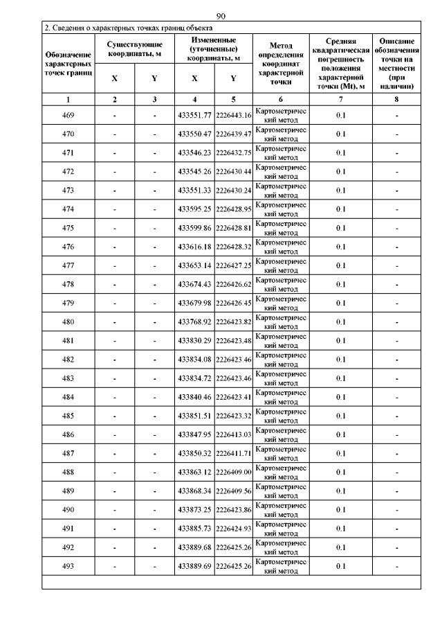
Страница №242 из 353:
Увеличить