Официальное опубликование правовых актов
ОФИЦИАЛЬНОЕ ОПУБЛИКОВАНИЕ
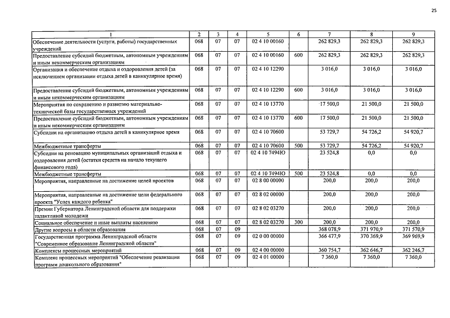
Закон Ленинградской области от 01.04.2022 № 34-оз
"О внесении изменений в областной закон "Об областном бюджете Ленинградской области на 2022 год и на плановый период 2023 и 2024 годов"
Номер опубликования: 4700202204040001
Дата опубликования: 04.04.2022
Страница №216 из 450:
Увеличить