Официальное опубликование правовых актов
ОФИЦИАЛЬНОЕ ОПУБЛИКОВАНИЕ
Постановление Правительства Ленинградской области от 31.01.2022 № 61
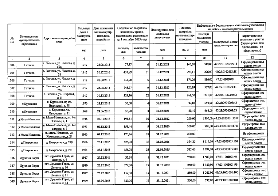
"О внесении изменения в постановление Правительства Ленинградской области от 1 апреля 2019 года № 134 "Об утверждении региональной адресной программы "Переселение граждан из аварийного жилищного фонда на территории Ленинградской области в 2019 – 2025 годах"
Номер опубликования: 4700202202030003
Дата опубликования: 03.02.2022
Страница №47 из 127:
Увеличить