Официальное опубликование правовых актов
ОФИЦИАЛЬНОЕ ОПУБЛИКОВАНИЕ
Постановление Правительства Ленинградской области от 28.12.2021 № 881
"О внесении изменений в постановление Правительства Ленинградской области от 14 ноября 2013 года № 402 "Об утверждении государственной программы Ленинградской области "Управление государственными финансами и государственным долгом Ленинградской области"
Номер опубликования: 4700202112280004
Дата опубликования: 28.12.2021
Страница №3 из 12:
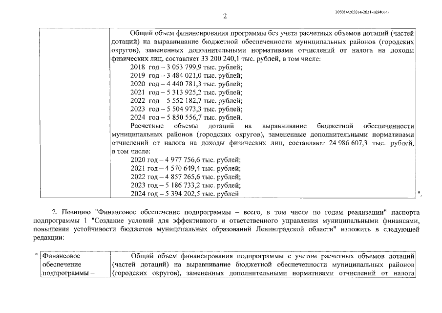
Увеличить