Официальное опубликование правовых актов
ОФИЦИАЛЬНОЕ ОПУБЛИКОВАНИЕ
Постановление Правительства Ленинградской области от 29.11.2021 № 757
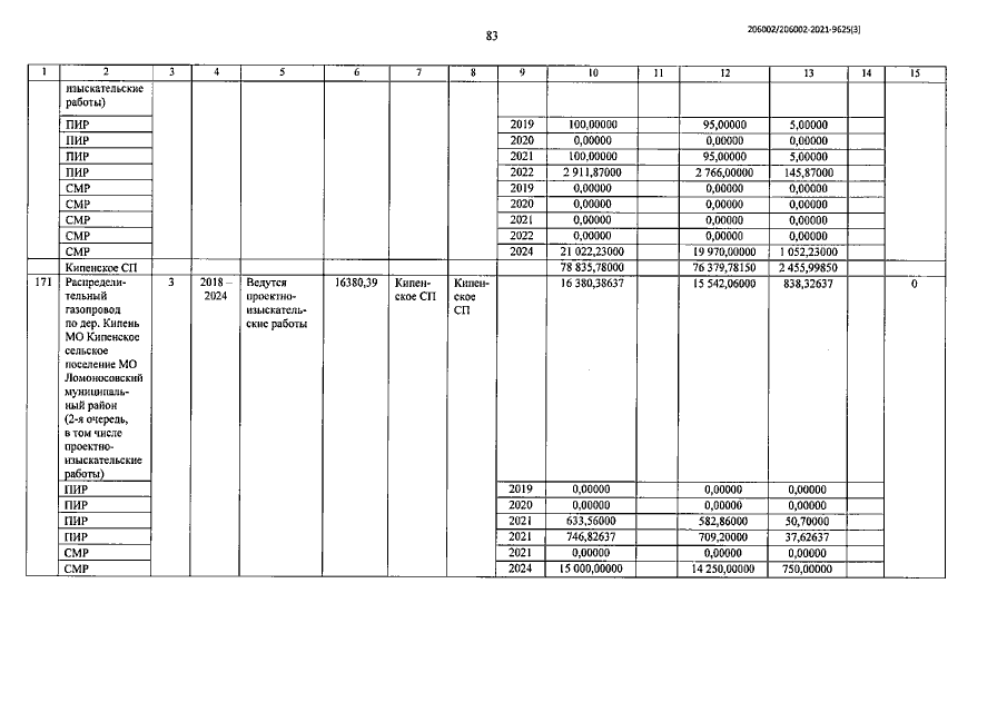
"О внесении изменений в постановление Правительства Ленинградской области от 29 января 2021 года № 36 "О распределении на 2021 год и на плановый период 2022 и 2023 годов субсидии из областного бюджета Ленинградской области бюджетам муниципальных образований Ленинградской области на бюджетные инвестиции в объекты капитального строительства объектов газификации (в том числе проектно-изыскательские работы) собственности муниципальных образований в рамках подпрограммы "Газификация Ленинградской области", утверждении Перечня объектов подпрограммы "Газификация Ленинградской области" государственной программы Ленинградской области "Обеспечение устойчивого функционирования и развития коммунальной и инженерной инфраструктуры и повышение энергоэффективности в Ленинградской области" и признании утратившим силу постановления Правительства Ленинградской области от 2 ноября 2020 года № 710"
Номер опубликования: 4700202112010003
Дата опубликования: 01.12.2021
Страница №99 из 141:
Увеличить