Официальное опубликование правовых актов
ОФИЦИАЛЬНОЕ ОПУБЛИКОВАНИЕ
Постановление Правительства Ленинградской области от 01.09.2021 № 561
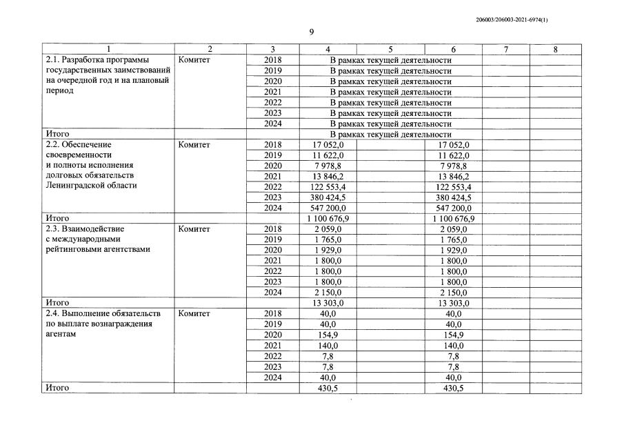
"О внесении изменений в постановление Правительства Ленинградской области от 14 ноября 2013 года № 402 "Об утверждении государственной программы Ленинградской области "Управление государственными финансами и государственным долгом Ленинградской области"
Номер опубликования: 4700202109010001
Дата опубликования: 01.09.2021
Страница №10 из 12:
Увеличить