Официальное опубликование правовых актов
ОФИЦИАЛЬНОЕ ОПУБЛИКОВАНИЕ
Постановление Правительства Ленинградской области от 06.08.2021 № 508
"О внесении изменений в Генеральный план муниципального образования "Усть-Лужское сельское поселение" Кингисеппского муниципального района Ленинградской области"
Номер опубликования: 4700202108090005
Дата опубликования: 09.08.2021
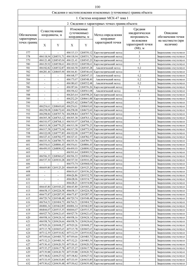
Страница №143 из 155:
Увеличить