Официальное опубликование правовых актов
ОФИЦИАЛЬНОЕ ОПУБЛИКОВАНИЕ
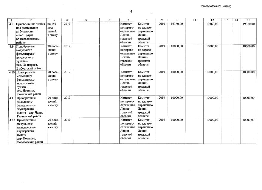
Постановление Правительства Ленинградской области от 03.08.2021 № 499
"О внесении изменения в постановление Правительства Ленинградской области от 18 июля 2016 года № 245 "Об утверждении Перечня объектов государственной программы Ленинградской области "Развитие здравоохранения в Ленинградской области"
Номер опубликования: 4700202108050004
Дата опубликования: 05.08.2021
Страница №5 из 12:
Увеличить