Официальное опубликование правовых актов
ОФИЦИАЛЬНОЕ ОПУБЛИКОВАНИЕ
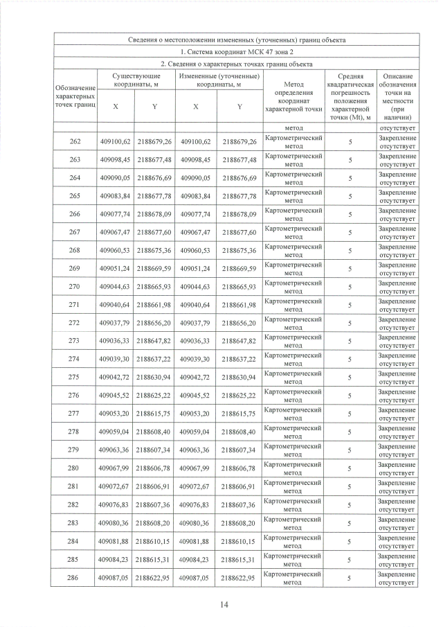
Постановление Правительства Ленинградской области от 03.08.2021 № 496
"О внесении изменений в Генеральный план муниципального образования Ропшинское сельское поселение муниципального образования Ломоносовский муниципальный район Ленинградской области"
Номер опубликования: 4700202108030001
Дата опубликования: 03.08.2021
Страница №56 из 166:
Увеличить