Официальное опубликование правовых актов
ОФИЦИАЛЬНОЕ ОПУБЛИКОВАНИЕ
Постановление Правительства Ленинградской области от 15.02.2021 № 90
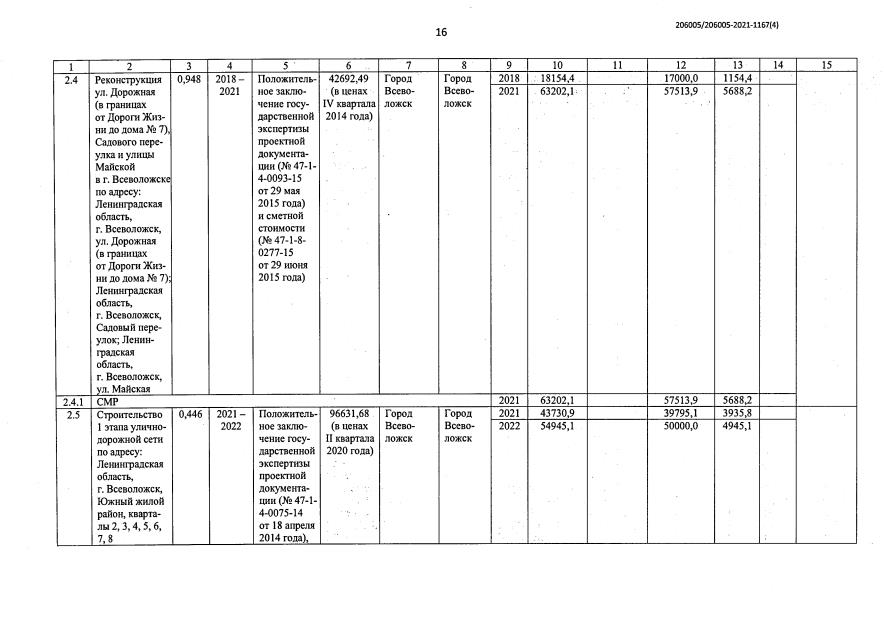
"О внесении изменений в постановление Правительства Ленинградской области от 30 ноября 2015 года № 450 "Об утверждении Перечня объектов подпрограммы "Развитие сети автомобильных дорог общего пользования" государственной программы Ленинградской области "Развитие транспортной системы Ленинградской области" и распределения субсидий бюджетам муниципальных образований Ленинградской области на текущий финансовый год и на плановый период за счет средств дорожного фонда Ленинградской области на строительство (реконструкцию), включая проектирование, автомобильных дорог общего пользования местного значения в рамках реализации мероприятий подпрограммы "Развитие сети автомобильных дорог общего пользования" государственной программы Ленинградской области "Развитие транспортной системы Ленинградской области"
Номер опубликования: 4700202102240002
Дата опубликования: 24.02.2021
Страница №18 из 30:
Увеличить