Официальное опубликование правовых актов
ОФИЦИАЛЬНОЕ ОПУБЛИКОВАНИЕ
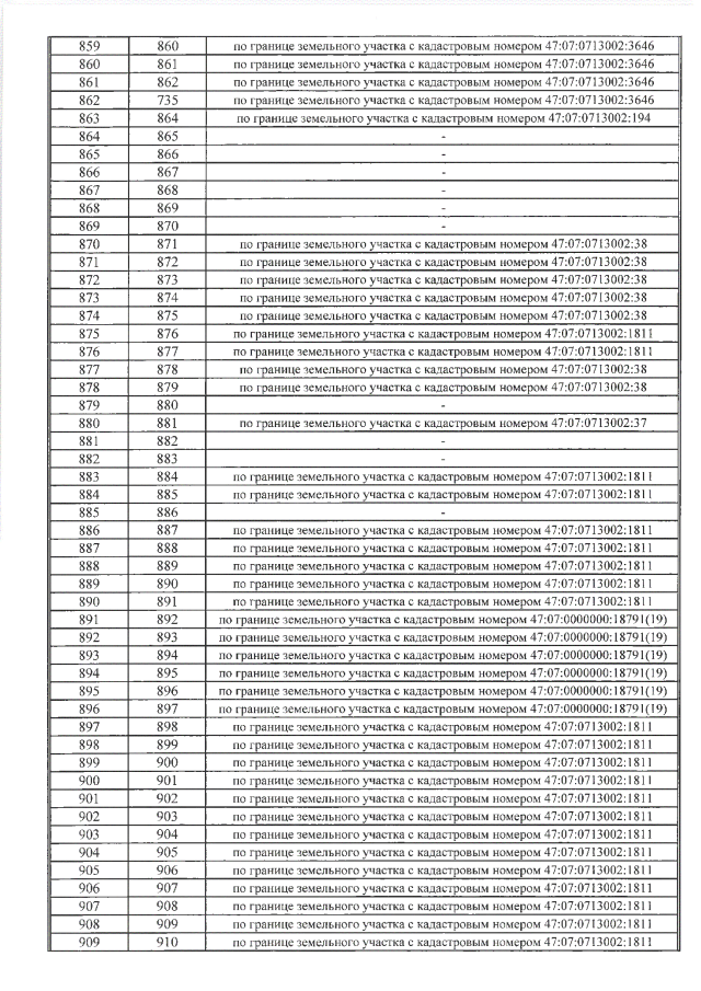
Постановление Правительства Ленинградской области от 02.02.2021 № 67
"О внесении изменений в Генеральный план муниципального образования "Бугровское сельское поселение" Всеволожского муниципального района Ленинградской области применительно к дер. Мистолово"
Номер опубликования: 4700202102040001
Дата опубликования: 04.02.2021
Страница №64 из 66:
Увеличить