Официальное опубликование правовых актов
ОФИЦИАЛЬНОЕ ОПУБЛИКОВАНИЕ
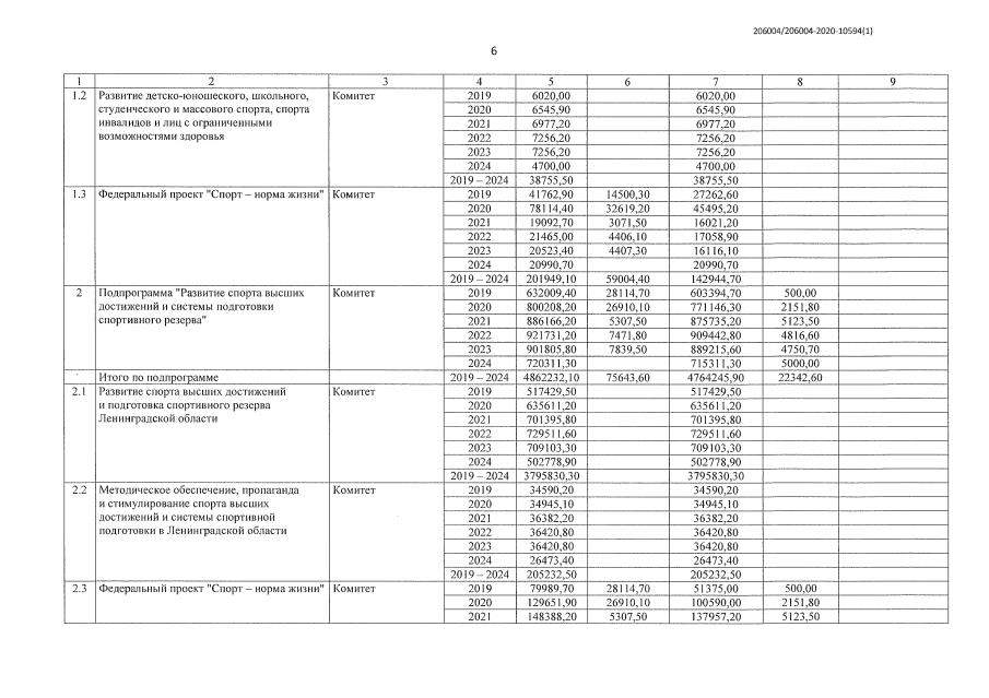
Постановление Правительства Ленинградской области от 25.12.2020 № 855
"О внесении изменений в постановление Правительства Ленинградской области от 14 ноября 2013 года № 401 "Об утверждении государственной программы Ленинградской области "Развитие физической культуры и спорта в Ленинградской области"
Номер опубликования: 4700202012260003
Дата опубликования: 26.12.2020
Страница №7 из 8:
Увеличить