Официальное опубликование правовых актов
ОФИЦИАЛЬНОЕ ОПУБЛИКОВАНИЕ
Постановление Правительства Ленинградской области от 24.12.2020 № 853
"Об утверждении изменений в Генеральный план муниципального образования "Город Всеволожск" Всеволожского муниципального района Ленинградской области"
Номер опубликования: 4700202012260001
Дата опубликования: 26.12.2020
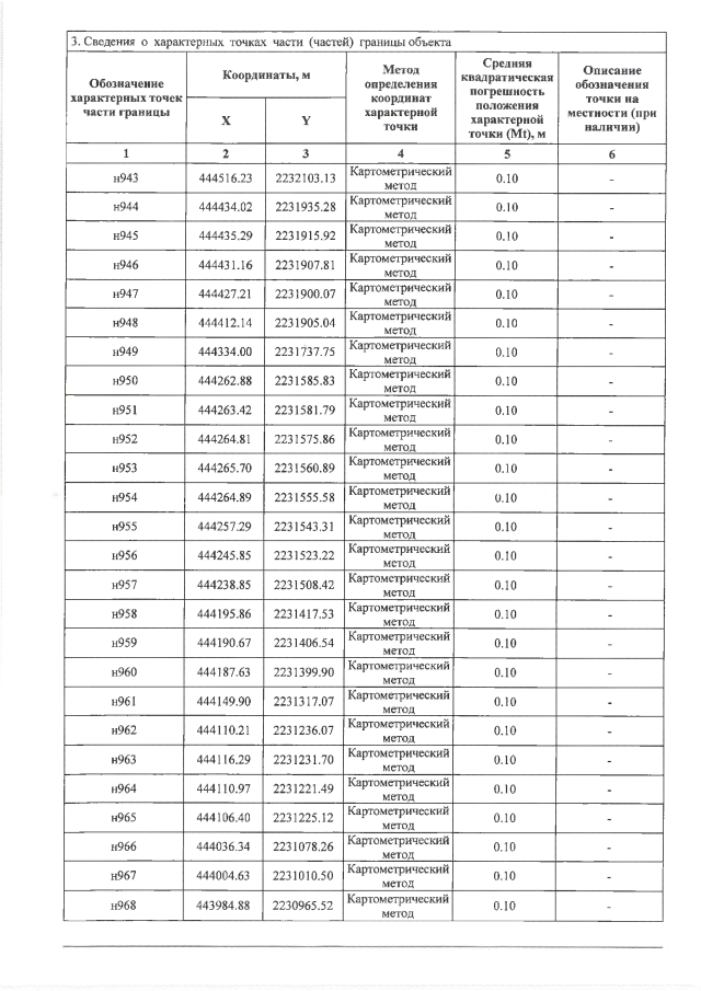
Страница №127 из 249:
Увеличить