Официальное опубликование правовых актов
ОФИЦИАЛЬНОЕ ОПУБЛИКОВАНИЕ
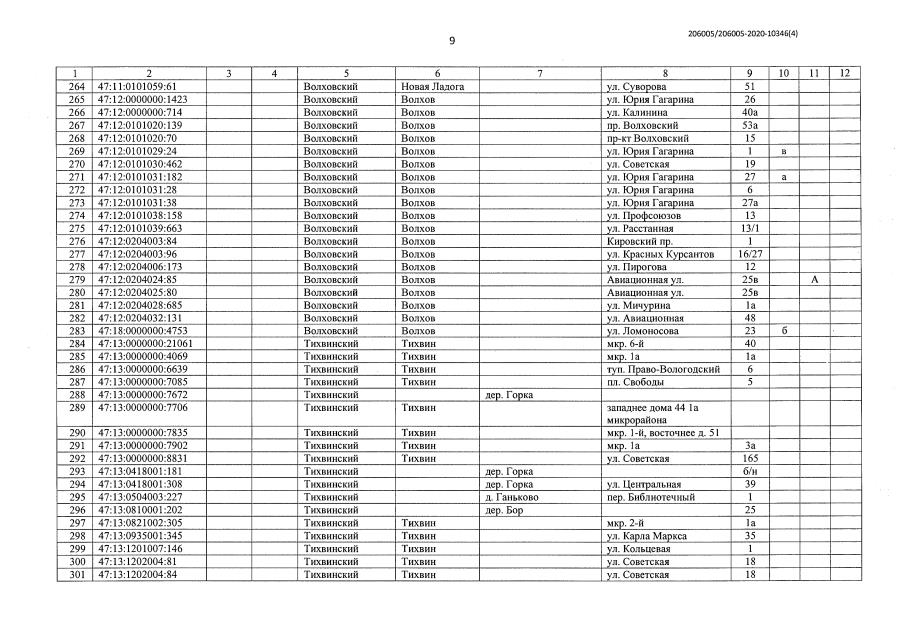
Постановление Правительства Ленинградской области от 21.12.2020 № 846
"Об определении Перечня зданий (строений, сооружений) и помещений в них, в отношении которых налоговая база определяется как кадастровая стоимость, на 2021 год"
Номер опубликования: 4700202012240003
Дата опубликования: 24.12.2020
Страница №10 из 21:
Увеличить