Официальное опубликование правовых актов
ОФИЦИАЛЬНОЕ ОПУБЛИКОВАНИЕ
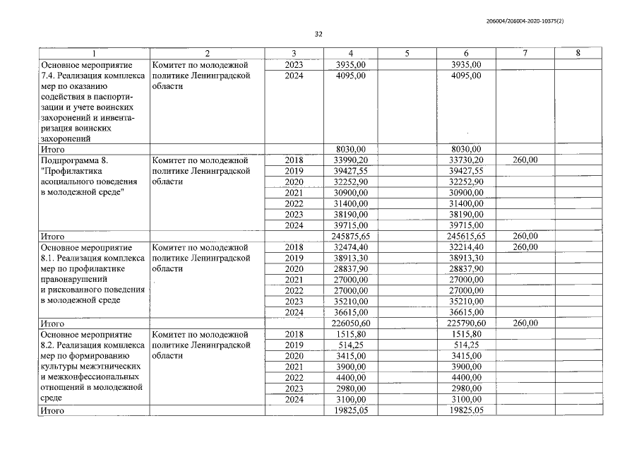
Постановление Правительства Ленинградской области от 21.12.2020 № 845
"О внесении изменений в постановление Правительства Ленинградской области от 14 ноября 2013 года № 399 "Об утверждении государственной программы Ленинградской области "Устойчивое общественное развитие в Ленинградской области"
Номер опубликования: 4700202012230008
Дата опубликования: 23.12.2020
Страница №33 из 40:
Увеличить