Официальное опубликование правовых актов
ОФИЦИАЛЬНОЕ ОПУБЛИКОВАНИЕ
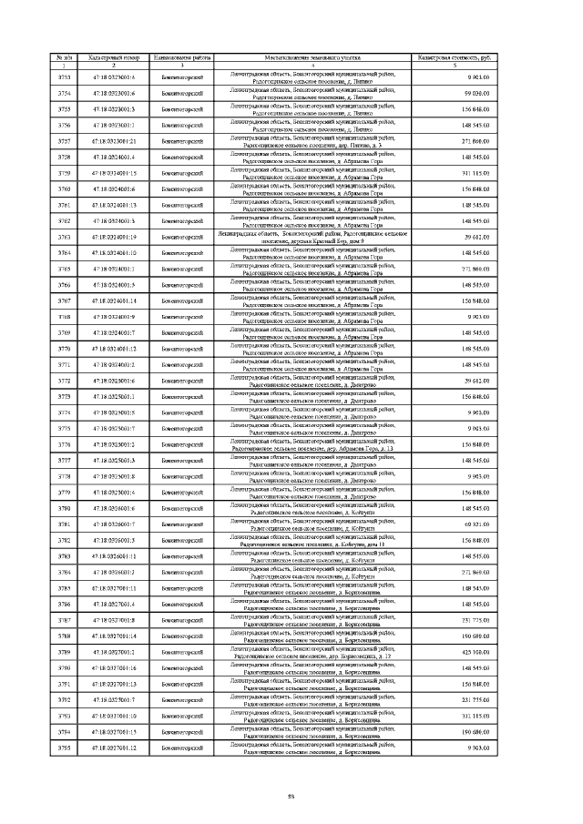
Постановление Правительства Ленинградской области от 27.11.2020 № 782
"Об утверждении результатов определения кадастровой стоимости"
Номер опубликования: 4700202012110013
Дата опубликования: 11.12.2020
Страница №98 из 34704:
Увеличить