Официальное опубликование правовых актов
ОФИЦИАЛЬНОЕ ОПУБЛИКОВАНИЕ
Постановление Правительства Ленинградской области от 10.12.2020 № 813
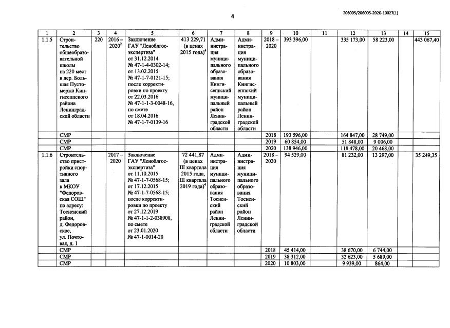
"О внесении изменений в постановление Правительства Ленинградской области от 11 марта 2016 года № 57 "Об утверждении Перечня объектов и распределения субсидий из областного бюджета Ленинградской области бюджетам муниципальных образований Ленинградской области на строительство, реконструкцию, приобретение объектов общеобразовательных организаций в рамках подпрограммы "Развитие начального общего, основного общего и среднего общего образования детей в Ленинградской области" государственной программы Ленинградской области "Современное образование Ленинградской области"
Номер опубликования: 4700202012110007
Дата опубликования: 11.12.2020
Страница №5 из 15:
Увеличить