Официальное опубликование правовых актов
ОФИЦИАЛЬНОЕ ОПУБЛИКОВАНИЕ
Постановление Правительства Ленинградской области от 26.11.2020 № 781
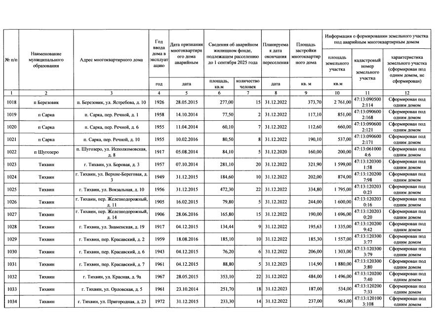
"О внесении изменения в постановление Правительства Ленинградской области от 1 апреля 2019 года № 134 "Об утверждении региональной адресной программы "Переселение граждан из аварийного жилищного фонда на территории Ленинградской области в 2019 - 2025 годах"
Номер опубликования: 4700202011270001
Дата опубликования: 27.11.2020
Страница №80 из 101:
Увеличить