Официальное опубликование правовых актов
ОФИЦИАЛЬНОЕ ОПУБЛИКОВАНИЕ
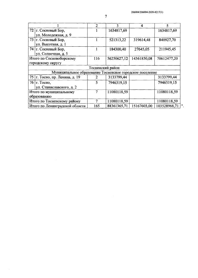
Постановление Правительства Ленинградской области от 26.10.2020 № 692
"О внесении изменений в постановление Правительства Ленинградской области от 7 октября 2019 года № 451 "Об утверждении Порядка предоставления некоммерческой организации "Фонд капитального ремонта многоквартирных домов Ленинградской области" субсидий на обеспечение мероприятий по капитальному ремонту межквартирных лестничных площадок, лестниц, коридоров, предназначенных для обслуживания более одного помещения в многоквартирном доме"
Номер опубликования: 4700202010270012
Дата опубликования: 27.10.2020
Страница №9 из 9:
Увеличить