Официальное опубликование правовых актов
ОФИЦИАЛЬНОЕ ОПУБЛИКОВАНИЕ
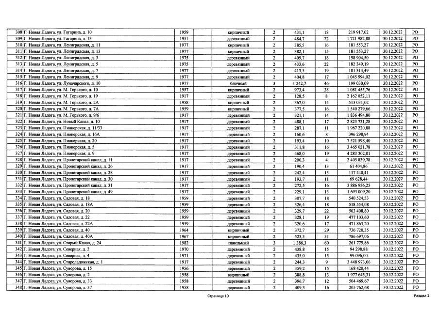
Постановление Правительства Ленинградской области от 26.10.2020 № 690
"О внесении изменений в постановление Правительства Ленинградской области от 23 июля 2019 года № 345 "О Краткосрочном плане реализации в 2020, 2021 и 2022 годах Региональной программы капитального ремонта общего имущества в многоквартирных домах, расположенных на территории Ленинградской области, на 2014 – 2043 годы"
Номер опубликования: 4700202010270011
Дата опубликования: 27.10.2020
Страница №11 из 159:
Увеличить