Постановление Правительства Ленинградской области от 08.10.2020 № 668
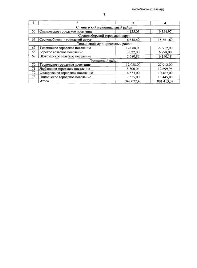
"О распределении в 2021 году субсидии из областного бюджета Ленинградской области и поступивших в порядке софинансирования средств федерального бюджета бюджетам муниципальных образований Ленинградской области на реализацию программ формирования современной городской среды в рамках государственной программы Ленинградской области "Формирование городской среды и обеспечение качественным жильем граждан на территории Ленинградской области"
"О распределении в 2021 году субсидии из областного бюджета Ленинградской области и поступивших в порядке софинансирования средств федерального бюджета бюджетам муниципальных образований Ленинградской области на реализацию программ формирования современной городской среды в рамках государственной программы Ленинградской области "Формирование городской среды и обеспечение качественным жильем граждан на территории Ленинградской области"
Номер опубликования: 4700202010090002
Дата опубликования:
09.10.2020
