Официальное опубликование правовых актов
ОФИЦИАЛЬНОЕ ОПУБЛИКОВАНИЕ
Постановление Правительства Ленинградской области от 31.08.2020 № 608
"О внесении изменений в Генеральный план муниципального образования "Выборгское городское поселение" Выборгского района Ленинградской области"
Номер опубликования: 4700202009040002
Дата опубликования: 04.09.2020
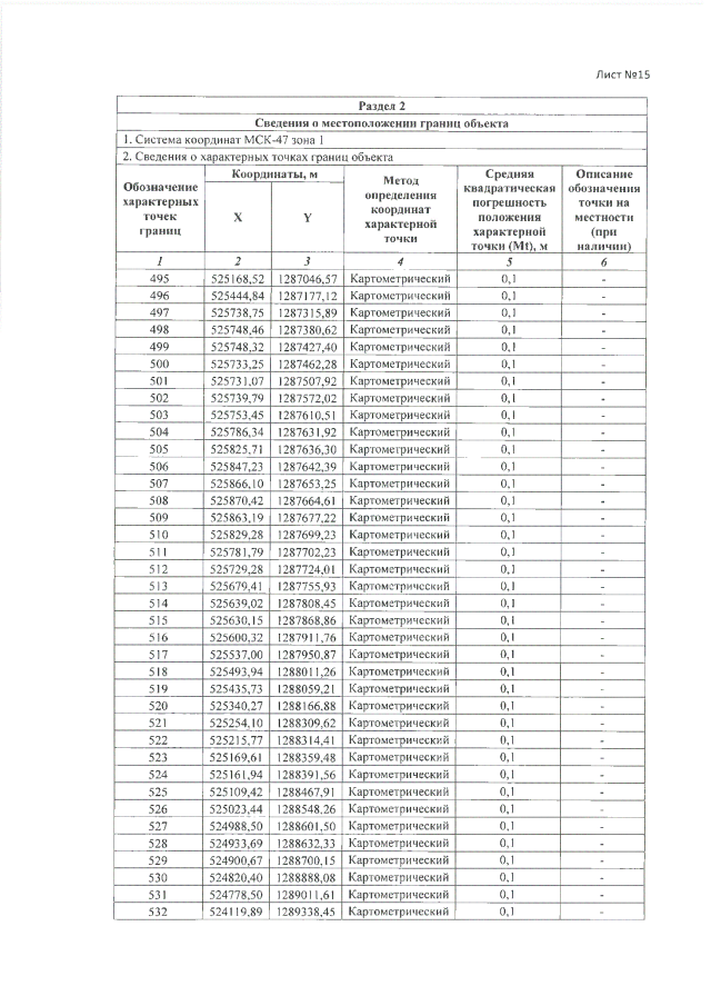
Страница №26 из 39:
Увеличить