Официальное опубликование правовых актов
ОФИЦИАЛЬНОЕ ОПУБЛИКОВАНИЕ
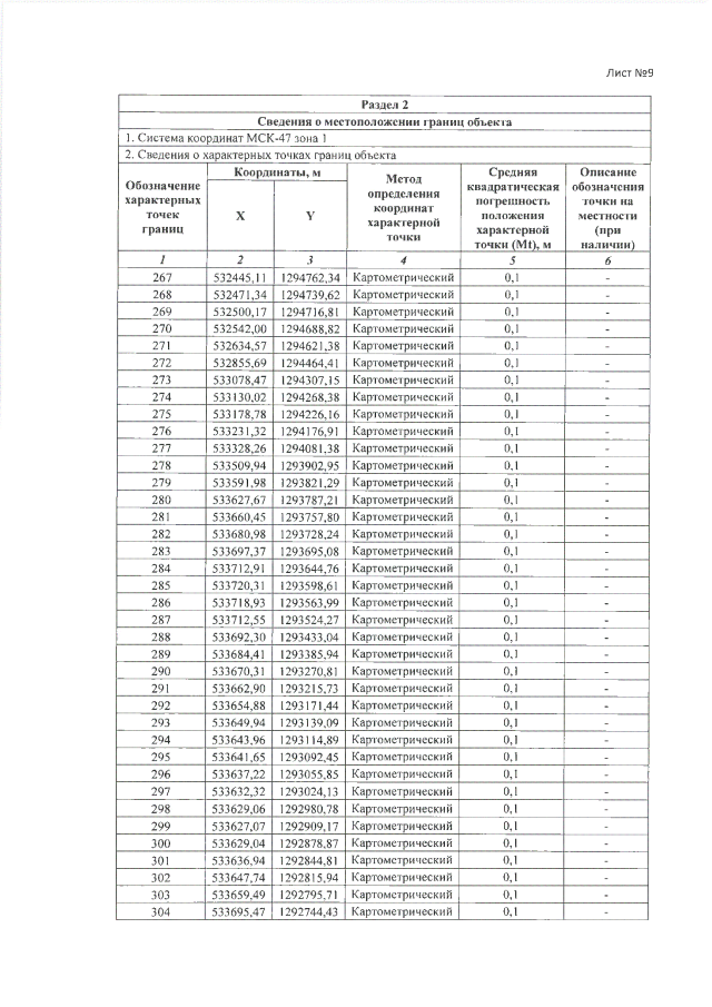
Постановление Правительства Ленинградской области от 31.08.2020 № 608
"О внесении изменений в Генеральный план муниципального образования "Выборгское городское поселение" Выборгского района Ленинградской области"
Номер опубликования: 4700202009040002
Дата опубликования: 04.09.2020
Страница №20 из 39:
Увеличить