Официальное опубликование правовых актов
ОФИЦИАЛЬНОЕ ОПУБЛИКОВАНИЕ
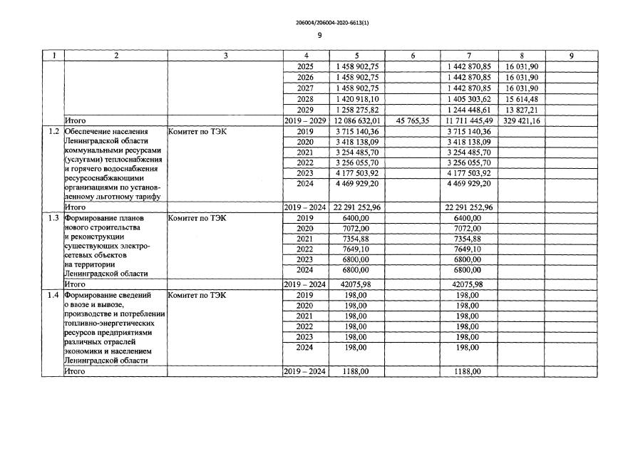
Постановление Правительства Ленинградской области от 17.08.2020 № 578
"О внесении изменений в постановление Правительства Ленинградской области от 14 ноября 2013 года № 400 "Об утверждении государственной программы Ленинградской области "Обеспечение устойчивого функционирования и развития коммунальной и инженерной инфраструктуры и повышение энергоэффективности в Ленинградской области"
Номер опубликования: 4700202008190007
Дата опубликования: 19.08.2020
Страница №10 из 16:
Увеличить