Официальное опубликование правовых актов
ОФИЦИАЛЬНОЕ ОПУБЛИКОВАНИЕ
Постановление Правительства Ленинградской области от 14.07.2020 № 497
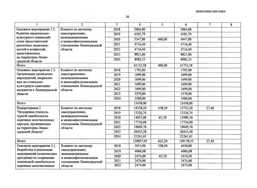
"О внесении изменений в постановление Правительства Ленинградской области от 14 ноября 2013 года № 399 "Об утверждении государственной программы Ленинградской области "Устойчивое общественное развитие в Ленинградской области"
Номер опубликования: 4700202007150007
Дата опубликования: 15.07.2020
Страница №27 из 50:
Увеличить