Официальное опубликование правовых актов
ОФИЦИАЛЬНОЕ ОПУБЛИКОВАНИЕ
Постановление Правительства Ленинградской области от 22.06.2020 № 441
"О внесении изменения в Генеральный план муниципального образования Аннинское городское поселение Ломоносовского муниципального района Ленинградской области"
Номер опубликования: 4700202006300001
Дата опубликования: 30.06.2020
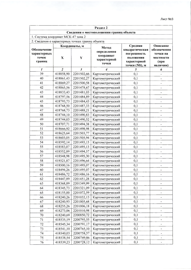
Страница №35 из 47:
Увеличить