Официальное опубликование правовых актов
ОФИЦИАЛЬНОЕ ОПУБЛИКОВАНИЕ
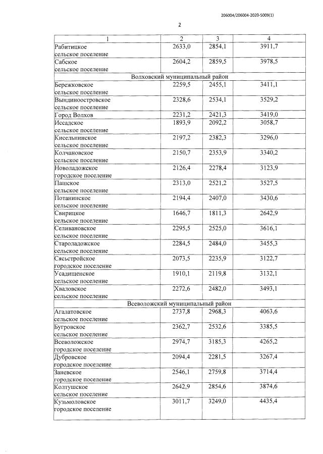
Постановление Правительства Ленинградской области от 22.06.2020 № 426
"О размерах региональных стандартов стоимости жилищно-коммунальных услуг в Ленинградской области с 1 июля по 31 декабря 2020 года"
Номер опубликования: 4700202006250006
Дата опубликования: 25.06.2020
Страница №22 из 29:
Увеличить