Официальное опубликование правовых актов
ОФИЦИАЛЬНОЕ ОПУБЛИКОВАНИЕ
Постановление Правительства Ленинградской области от 15.06.2020 № 409
"О внесении изменений в постановление Правительства Ленинградской области от 14 ноября 2013 года № 395 "Об утверждении государственной программы Ленинградской области "Цифровое развитие Ленинградской области"
Номер опубликования: 4700202006180006
Дата опубликования: 18.06.2020
Страница №7 из 27:
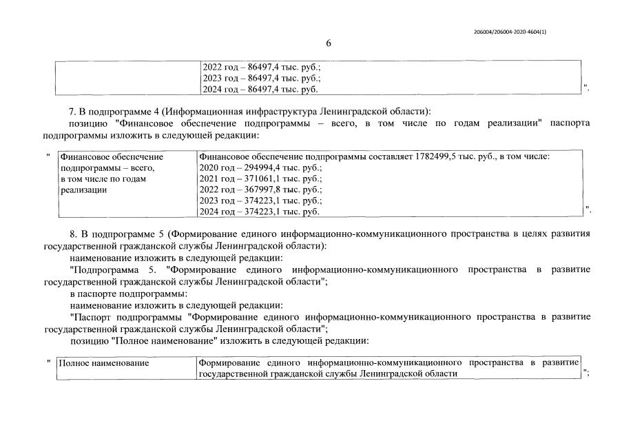
Увеличить