Официальное опубликование правовых актов
ОФИЦИАЛЬНОЕ ОПУБЛИКОВАНИЕ
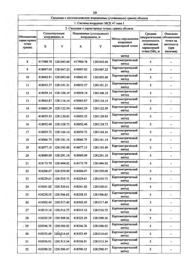
Постановление Правительства Ленинградской области от 26.05.2020 № 338
"О внесении изменений в генеральный план муниципального образования "Вистинское сельское поселение" муниципального образования "Кингисеппский муниципальный район" Ленинградской области"
Номер опубликования: 4700202006040001
Дата опубликования: 04.06.2020
Страница №116 из 140:
Увеличить