Официальное опубликование правовых актов
ОФИЦИАЛЬНОЕ ОПУБЛИКОВАНИЕ
Постановление Правительства Ленинградской области от 06.05.2020 № 270
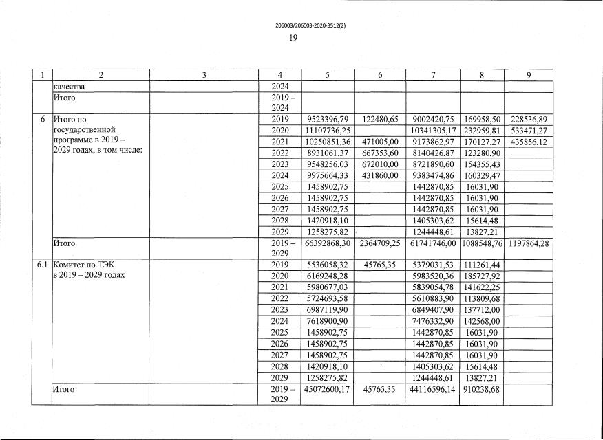
"О внесении изменений в постановление Правительства Ленинградской области от 14 ноября 2013 года № 400 "Об утверждении государственной программы Ленинградской области "Обеспечение устойчивого функционирования и развития коммунальной и инженерной инфраструктуры и повышение энергоэффективности в Ленинградской области"
Номер опубликования: 4700202005130001
Дата опубликования: 13.05.2020
Страница №20 из 21:
Увеличить