Официальное опубликование правовых актов
ОФИЦИАЛЬНОЕ ОПУБЛИКОВАНИЕ
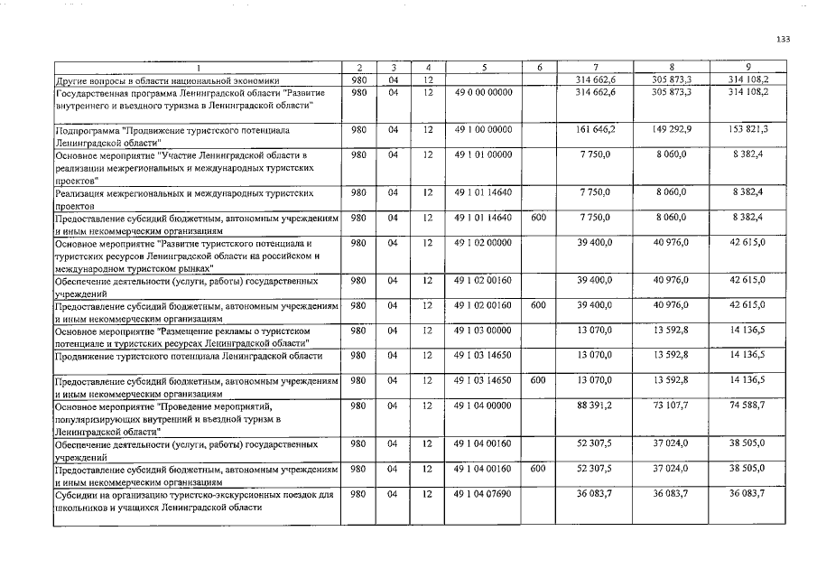
Закон Ленинградской области от 02.04.2020 № 32-оз
"О внесении изменений в областной закон "Об областном бюджете Ленинградской области на 2020 год и на плановый период 2021 и 2022 годов"
Номер опубликования: 4700202004060003
Дата опубликования: 06.04.2020
Страница №379 из 511:
Увеличить