Постановление Правительства Ленинградской области от 23.03.2020 № 142
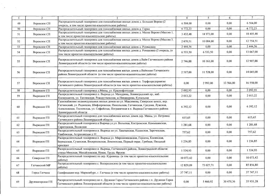
"О распределении на 2020 год и на плановый период 2021 и 2022 годов субсидий из областного бюджета Ленинградской области бюджетам муниципальных образований Ленинградской области на бюджетные инвестиции в объекты капитального строительства объектов газификации (в том числе проектно-изыскательские работы) собственности муниципальных образований в рамках подпрограммы "Газификация Ленинградской области" государственной программы Ленинградской области "Обеспечение устойчивого функционирования и развития коммунальной и инженерной инфраструктуры и повышение энергоэффективности в Ленинградской области"
"О распределении на 2020 год и на плановый период 2021 и 2022 годов субсидий из областного бюджета Ленинградской области бюджетам муниципальных образований Ленинградской области на бюджетные инвестиции в объекты капитального строительства объектов газификации (в том числе проектно-изыскательские работы) собственности муниципальных образований в рамках подпрограммы "Газификация Ленинградской области" государственной программы Ленинградской области "Обеспечение устойчивого функционирования и развития коммунальной и инженерной инфраструктуры и повышение энергоэффективности в Ленинградской области"
Номер опубликования: 4700202003250008
Дата опубликования:
25.03.2020
