Официальное опубликование правовых актов
ОФИЦИАЛЬНОЕ ОПУБЛИКОВАНИЕ
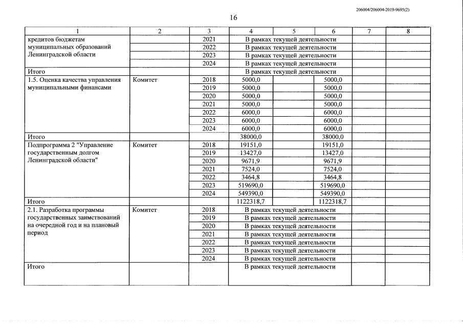
Постановление Правительства Ленинградской области от 27.12.2019 № 627
"О внесении изменений в постановление Правительства Ленинградской области от 14 ноября 2013 года № 402 "Об утверждении государственной программы Ленинградской области "Управление государственными финансами и государственным долгом Ленинградской области"
Номер опубликования: 4700201912300025
Дата опубликования: 30.12.2019
Страница №17 из 20:
Увеличить