Официальное опубликование правовых актов
ОФИЦИАЛЬНОЕ ОПУБЛИКОВАНИЕ
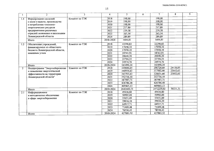
Постановление Правительства Ленинградской области от 25.12.2018 № 512
"О внесении изменений в постановление Правительства Ленинградской области от 14 ноября 2013 года № 400 "Об утверждении государственной программы Ленинградской области "Обеспечение устойчивого функционирования и развития коммунальной и инженерной инфраструктуры и повышение энергоэффективности в Ленинградской области"
Номер опубликования: 4700201812290007
Дата опубликования: 29.12.2018
Страница №16 из 21:
Увеличить