Официальное опубликование правовых актов
ОФИЦИАЛЬНОЕ ОПУБЛИКОВАНИЕ
Постановление Правительства Ленинградской области от 11.12.2018 № 475
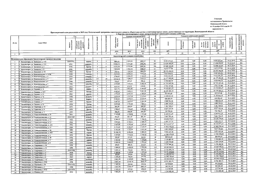
"О Краткосрочном плане реализации в 2017, 2018 и 2019 годах Региональной программы капитального ремонта общего имущества в многоквартирных домах, расположенных на территории Ленинградской области, на 2014 – 2043 годы и признании утратившими силу отдельных постановлений Правительства Ленинградской области"
Номер опубликования: 4700201812170008
Дата опубликования: 17.12.2018
Страница №85 из 108:
Увеличить