Официальное опубликование правовых актов
ОФИЦИАЛЬНОЕ ОПУБЛИКОВАНИЕ
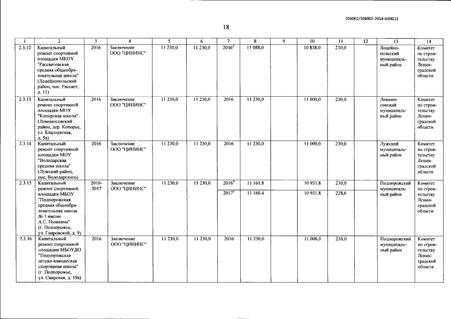
Постановление Правительства Ленинградской области от 15.10.2018 № 385
"О внесении изменения в постановление Правительства Ленинградской области от 27 ноября 2015 года № 444 "Об утверждении Перечня объектов подпрограммы "Развитие объектов физической культуры и спорта в Ленинградской области" государственной программы Ленинградской области "Развитие физической культуры и спорта в Ленинградской области"
Номер опубликования: 4700201810220013
Дата опубликования: 22.10.2018
Страница №19 из 32:
Увеличить