Официальное опубликование правовых актов
ОФИЦИАЛЬНОЕ ОПУБЛИКОВАНИЕ
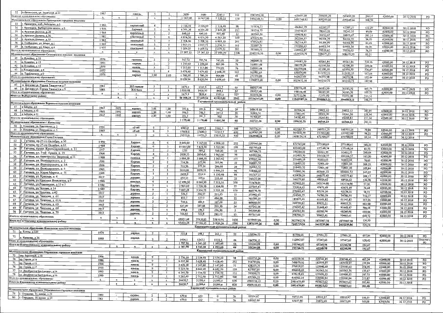
Постановление Правительства Ленинградской области от 27.07.2018 № 276
"О внесении изменений в постановление Правительства Ленинградской области от 28 декабря 2016 года № 523 "Об утверждении Краткосрочного плана реализации в 2017 году Региональной программы капитального ремонта общего имущества в многоквартирных домах, расположенных на территории Ленинградской области, на 2014 – 2043 годы"
Номер опубликования: 4700201807310019
Дата опубликования: 31.07.2018
Страница №30 из 37:
Увеличить