Официальное опубликование правовых актов
ОФИЦИАЛЬНОЕ ОПУБЛИКОВАНИЕ
Постановление Правительства Ленинградской области от 26.02.2018 № 55
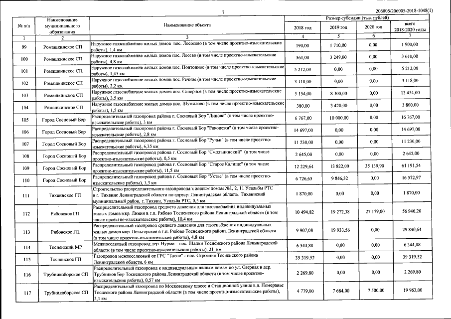
"О распределении на 2018 год и на плановый период 2019 и 2020 годов субсидий из областного бюджета Ленинградской области бюджетам муниципальных образований Ленинградской области на бюджетные инвестиции в объекты капитального строительства объектов газификации (в том числе проектно-изыскательские работы) собственности муниципальных образований в рамках подпрограммы "Газификация Ленинградской области" государственной программы Ленинградской области "Обеспечение устойчивого функционирования и развития коммунальной и инженерной инфраструктуры и повышение энергоэффективности в Ленинградской области"
Номер опубликования: 4700201803050002
Дата опубликования: 05.03.2018
Страница №9 из 10:
Увеличить