Официальное опубликование правовых актов
ОФИЦИАЛЬНОЕ ОПУБЛИКОВАНИЕ
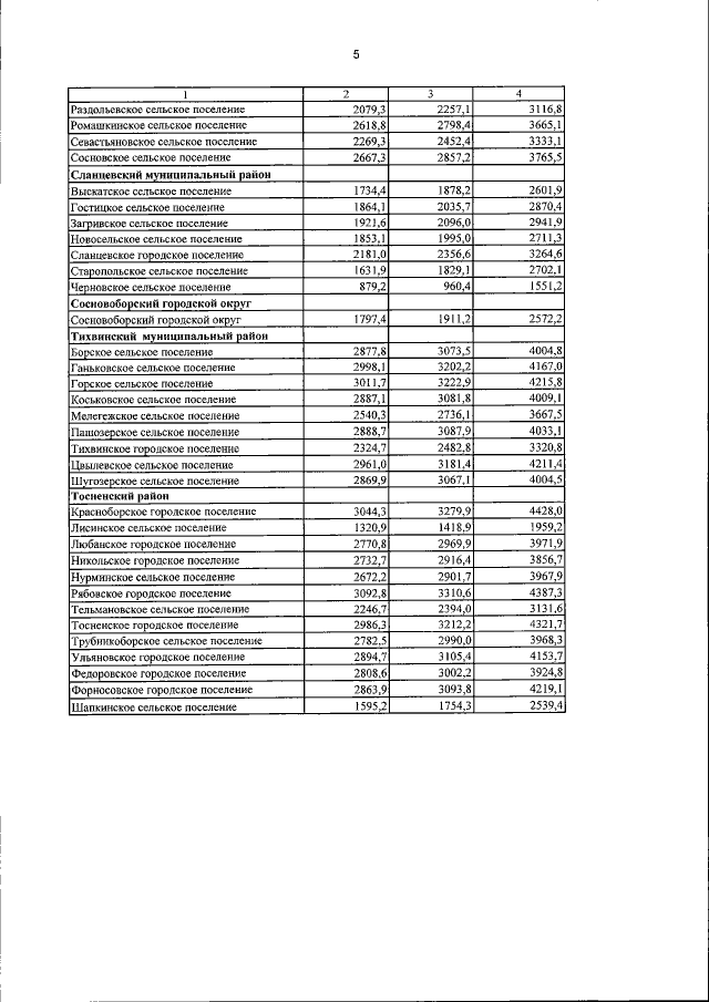
Постановление Правительства Ленинградской области от 05.02.2018 № 23
"О размерах региональных стандартов стоимости жилищно-коммунальных услуг в Ленинградской области с 1 января по 30 июня 2018 года"
Номер опубликования: 4700201802120003
Дата опубликования: 12.02.2018
Страница №17 из 17:
Увеличить