Официальное опубликование правовых актов
ОФИЦИАЛЬНОЕ ОПУБЛИКОВАНИЕ
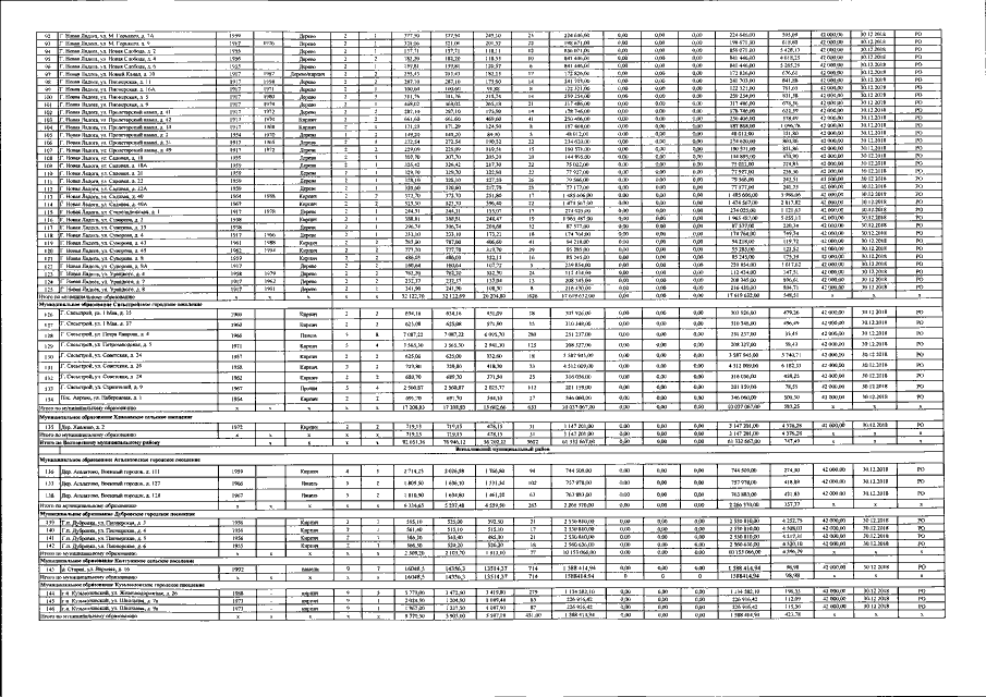
Постановление Правительства Ленинградской области от 04.08.2017 № 315
"О внесении изменений в постановление Правительства Ленинградской области от 28 декабря 2016 года № 523 "Об утверждении Краткосрочного плана реализации в 2017 году Региональной программы капитального ремонта общего имущества в многоквартирных домах, расположенных на территории Ленинградской области, на 2014 – 2043 годы"
Номер опубликования: 4700201708110004
Дата опубликования: 11.08.2017
Страница №4 из 32:
Увеличить