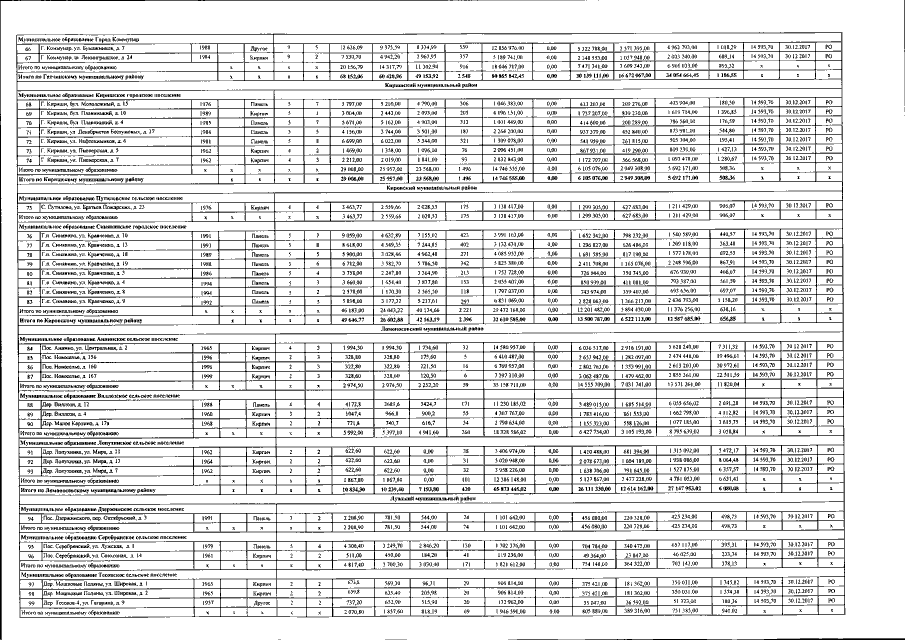
Постановление Правительства Ленинградской области от 04.08.2017 № 314
"О внесении изменения в постановление Правительства Ленинградской области от 13 ноября 2015 года № 433 "Об утверждении Краткосрочного плана реализации в 2016 году Региональной программы капитального ремонта общего имущества в многоквартирных домах, расположенных на территории Ленинградской области, на 2014 – 2043 годы"
"О внесении изменения в постановление Правительства Ленинградской области от 13 ноября 2015 года № 433 "Об утверждении Краткосрочного плана реализации в 2016 году Региональной программы капитального ремонта общего имущества в многоквартирных домах, расположенных на территории Ленинградской области, на 2014 – 2043 годы"
Номер опубликования: 4700201708110002
Дата опубликования:
11.08.2017
