Постановление Правительства Ленинградской области от 03.08.2017 № 312
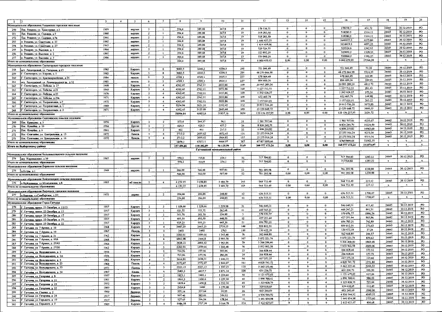
"Об утверждении Краткосрочного плана реализации в 2018 году Региональной программы капитального ремонта общего имущества в многоквартирных домах, расположенных на территории Ленинградской области, на 2014 – 2043 годы"
"Об утверждении Краткосрочного плана реализации в 2018 году Региональной программы капитального ремонта общего имущества в многоквартирных домах, расположенных на территории Ленинградской области, на 2014 – 2043 годы"
Номер опубликования: 4700201708110001
Дата опубликования:
11.08.2017
