Постановление Правительства Ленинградской области от 03.03.2017 № 44
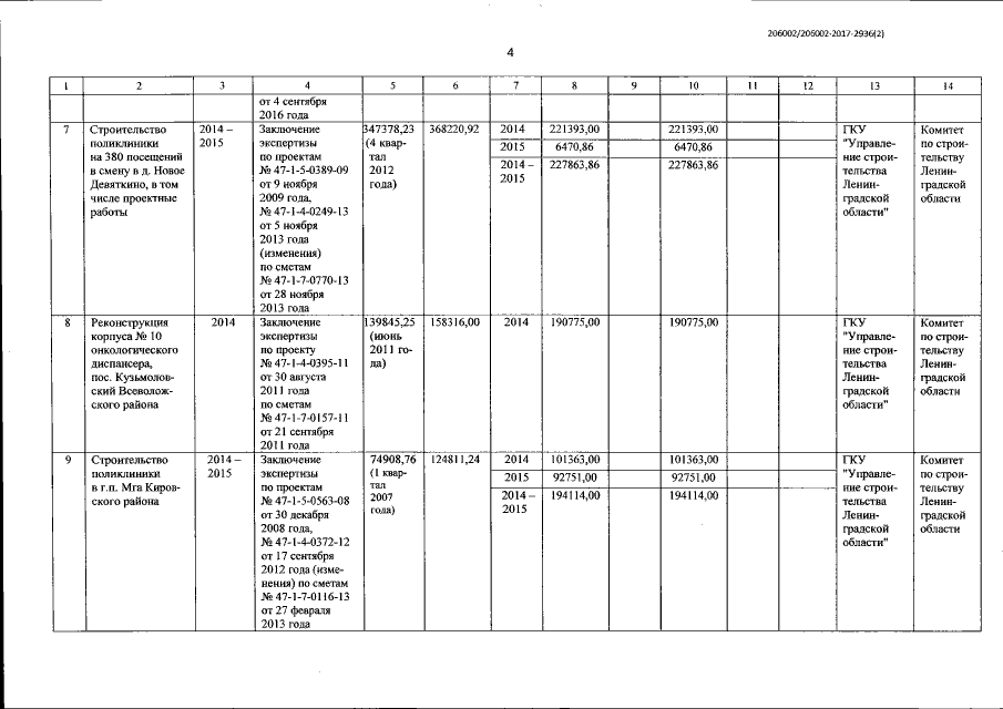
"О внесении изменения в постановление Правительства Ленинградской области от 18 июля 2016 года № 245 "Об утверждении Перечня объектов, строительство, реконструкция и модернизация которых предусмотрены в рамках государственной программы Ленинградской области "Развитие здравоохранения в Ленинградской области"
"О внесении изменения в постановление Правительства Ленинградской области от 18 июля 2016 года № 245 "Об утверждении Перечня объектов, строительство, реконструкция и модернизация которых предусмотрены в рамках государственной программы Ленинградской области "Развитие здравоохранения в Ленинградской области"
Номер опубликования: 4700201703060006
Дата опубликования:
06.03.2017
