Официальное опубликование правовых актов
ОФИЦИАЛЬНОЕ ОПУБЛИКОВАНИЕ
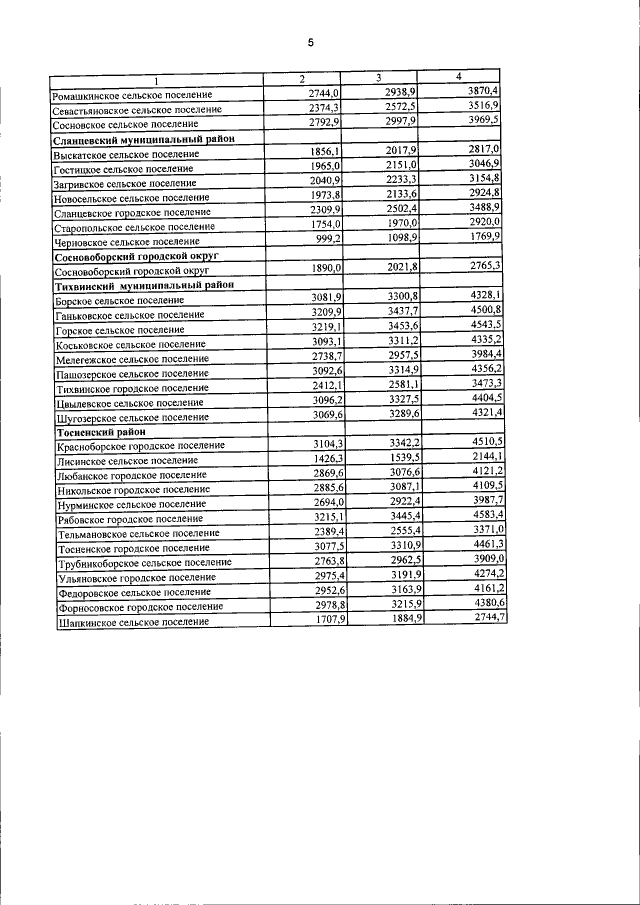
Постановление Правительства Ленинградской области от 25.01.2017 № 6
"О размерах региональных стандартов стоимости жилищно-коммунальных услуг в Ленинградской области на 2017 год"
Номер опубликования: 4700201701300003
Дата опубликования: 30.01.2017
Страница №27 из 32:
Увеличить