Официальное опубликование правовых актов
ОФИЦИАЛЬНОЕ ОПУБЛИКОВАНИЕ
Постановление Правительства Ленинградской области от 22.12.2016 № 500
"О внесении изменений в постановление Правительства Ленинградской области от 14 ноября 2013 года № 398 "О государственной программе Ленинградской области "Современное образование Ленинградской области"
Номер опубликования: 4700201612220006
Дата опубликования: 22.12.2016
Страница №18 из 19:
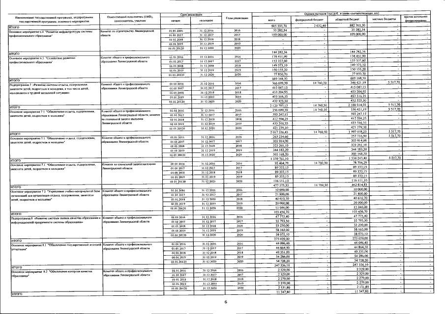
Увеличить