Официальное опубликование правовых актов
ОФИЦИАЛЬНОЕ ОПУБЛИКОВАНИЕ
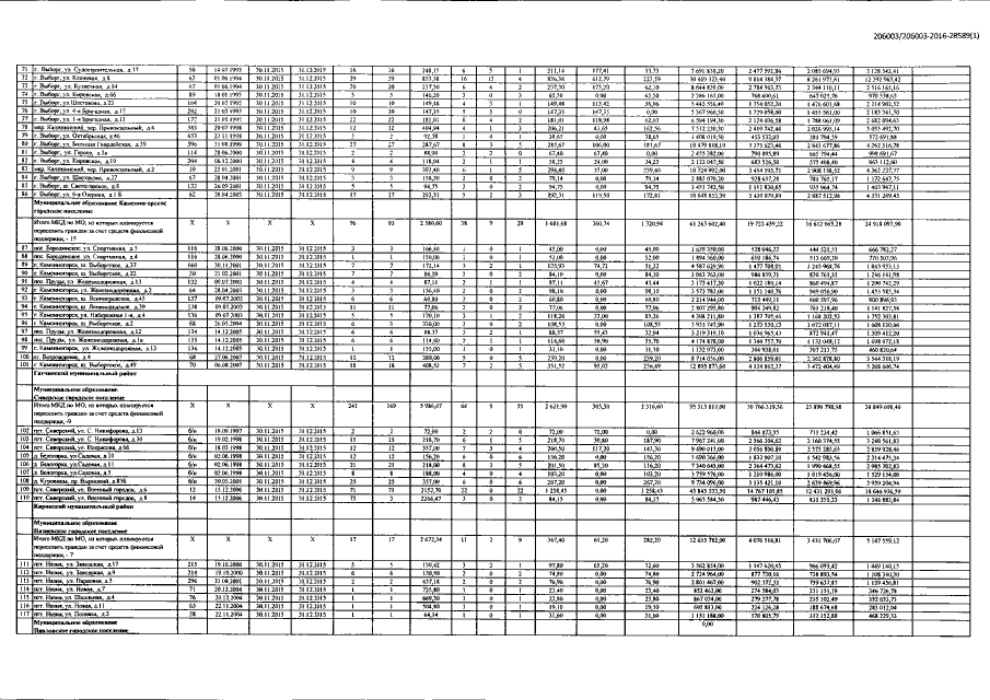
Постановление Правительства Ленинградской области от 12.12.2016 № 479
"О внесении изменений в постановление Правительства Ленинградской области от 21 марта 2013 года № 73 "Об утверждении региональной адресной программы "Переселение граждан из аварийного жилищного фонда на территории Ленинградской области в 2013 – 2017 годах"
Номер опубликования: 4700201612190024
Дата опубликования: 19.12.2016
Страница №23 из 94:
Увеличить