Официальное опубликование правовых актов
ОФИЦИАЛЬНОЕ ОПУБЛИКОВАНИЕ
Постановление Губернатора Ленинградской области от 21.03.2016 № 25-пг
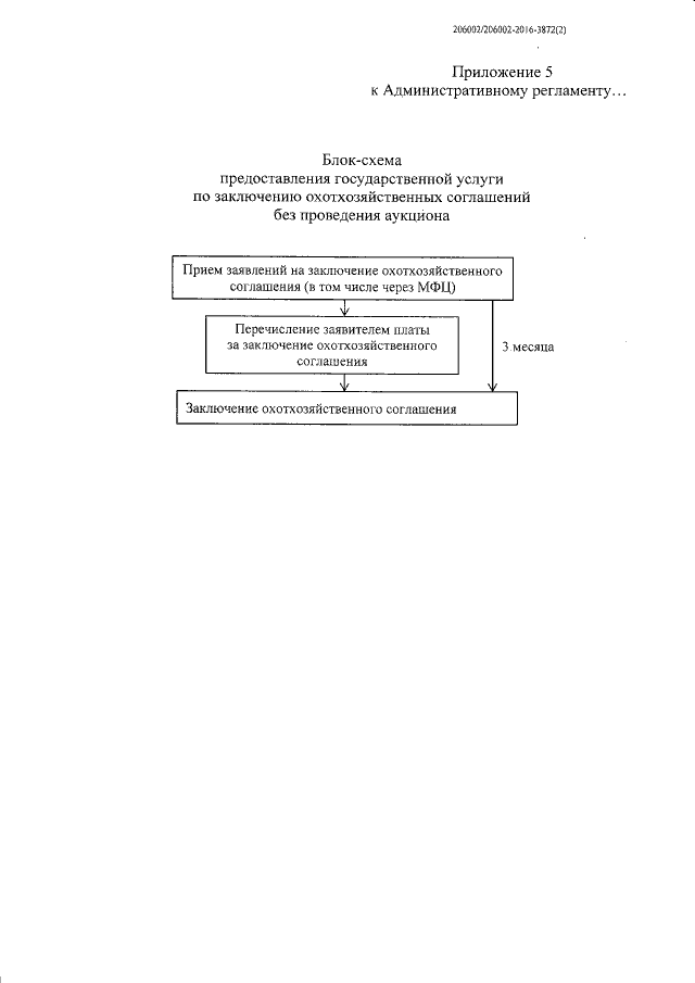
"Об утверждении Административного регламента предоставления государственной услуги по заключению охотхозяйственных соглашений, в том числе организации и проведению аукционов на право заключения таких соглашений"
Номер опубликования: 4700201603280003
Дата опубликования: 28.03.2016
Страница №33 из 38:
Увеличить